成都生物所在西南干旱河谷区气候、土壤和植被的纬度格局研究中取得了系列新进展
作者:黎小娟
时间:2022-06-10
西南干旱河谷主要分布于横断山区的岷江、大渡河、雅砻江、金沙江、元江等流域的谷底,是湿润气候下的局部干旱区,不同纬度或流域的气候、土壤、植被呈现明显多样性。但是,目前十分缺乏关于西南干旱河谷气候、土壤、植被多样性和生物量地理格局的全面认识。
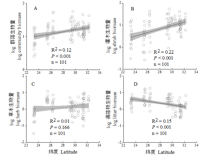
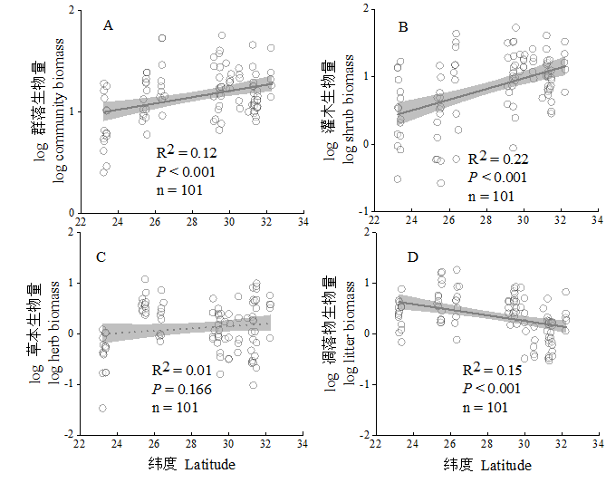
中国科学院成都生物研究所生态恢复与生物多样性保育研究团队通过不同纬度的调查与取样,从气候、土壤、植被多样性和生物量等方面进行生物地理格局及其成因研究,取得了一系列重要成果。首先,明确了西南干旱河谷区气候和地形的定量关系,发现地形与该区域干燥度的关系存在季节(旱季和雨季)差异性规律。其次,对土壤微生物量及群落组成、土壤碳组分及群落生物量研究发现:(1)微生物量(以总的PLFAs表示)随纬度的增加均呈显著增加趋势。其中,革兰氏阴性菌和真菌的PLFAs以及真菌/细菌(F/B)比值随纬度的增加而显著增加,而放线菌的PLFAs随纬度的增加变化不明显。值得注意的是,仅在亚表层土壤中,细菌和革兰氏阳性菌的PLFAs随纬度的增加而显著增加,而它们在表层土壤中没有表现出明显的纬度趋势(图1)(2)轻组分有机质(LFOM)在纬度梯度上呈指数增长模式,而重组分有机质(HFOM)在纬度梯度上呈线性增加模式。LFOM的纬度模式主要由气候因子解释,最重要的驱动因素是年平均气温,其次是年平均降水量。土壤物理化学因素特别是阳离子交换量和粉粒含量是HFOM纬度模式最重要的解释因子(图2)。另外,群落生物量和灌木生物量随纬度升高而显著增加, 草本生物量随纬度升高无明显变化, 凋落物生物量随纬度的升高而显著降低(图3),气候与土壤因子的空间差异很好地解释了植被不同组分生物量的纬度变化格局。
相关研究成果分别以“Soil microbial biomass and community composition along a latitudinal gradient in the arid valleys of southwest China”为题发表于Geoderma (IF=6.1);“Latitudinal patterns of light and heavy organic matter fractions in arid and semi-arid soils ”为题,发表于CATENA(IF=5.1);“Latitudinal patterns of climatic variables and influence of local topography on climatic variables in the dry valleys of southwestern China ”为题,发表于Journal of mountain science (IF=2.1)上和以“西南干旱河谷植物群落组分生物量的纬度格局及其影响因素”为题发表于植物生态学报上。中国科学院成都生物研究所的杨婷惠、黎小娟博士研究生和王子龙硕士研究生分别为相关论文第一作者,包维楷和李芳兰老师分别为相关论文的通讯作者。本研究得到国家重点研发计划课题(2017YFC0505105)和第二次青藏高原综合考察研究(2019QZKK0301)和国家科技基础资源调查专项(2019FY202300)的联合资助。
图1 中国西南干旱河谷表层(0–10 cm)和亚表层(10–20 cm)土壤微生物量及特定类群PLFAs沿纬度梯度的变化。GP,革兰氏阳性菌;GN,革兰氏阴性菌;Fungi/Bacteria,真菌/细菌比值。
图2,图A,B.分别为西南干旱河谷轻组分有机质 (LFOC 和 LFON)和重组分有机质 (HFOC 和 HFON) 的纬度格局; 图C,D.分别为气候,土壤,植被对轻组分有机质和重组分有机质的纬度格局的贡献;图E,F. 分别为单个气候,土壤,植被因子对轻组分有机质和重组分有机质的纬度格局的贡献的重要性
图3西南干旱河谷纬度梯度上群落及其组分生物量的变化。


