成都生物所在小麦穗型形成的遗传基础解析方面取得进展
来源:作物分子育种项目组
作者:李涛
时间:2021-08-05
小麦(Triticum aestivum L.)作为最重要的粮食作物之一,为全世界人口提供了约20%的能量摄入和重要的蛋白质来源。我国是小麦生产和消费第一大国,培育高产小麦品种,不断提高小麦产量是保障我国粮食安全的重要措施之一。穗长和穗密度作为重要的穗相关性状,与产量密切相关。因此鉴定、验证和克隆穗长和穗密度相关的数量性状位点(QTL)或基因对于解析它们的遗传机制,培育高产小麦具有重要的意义。
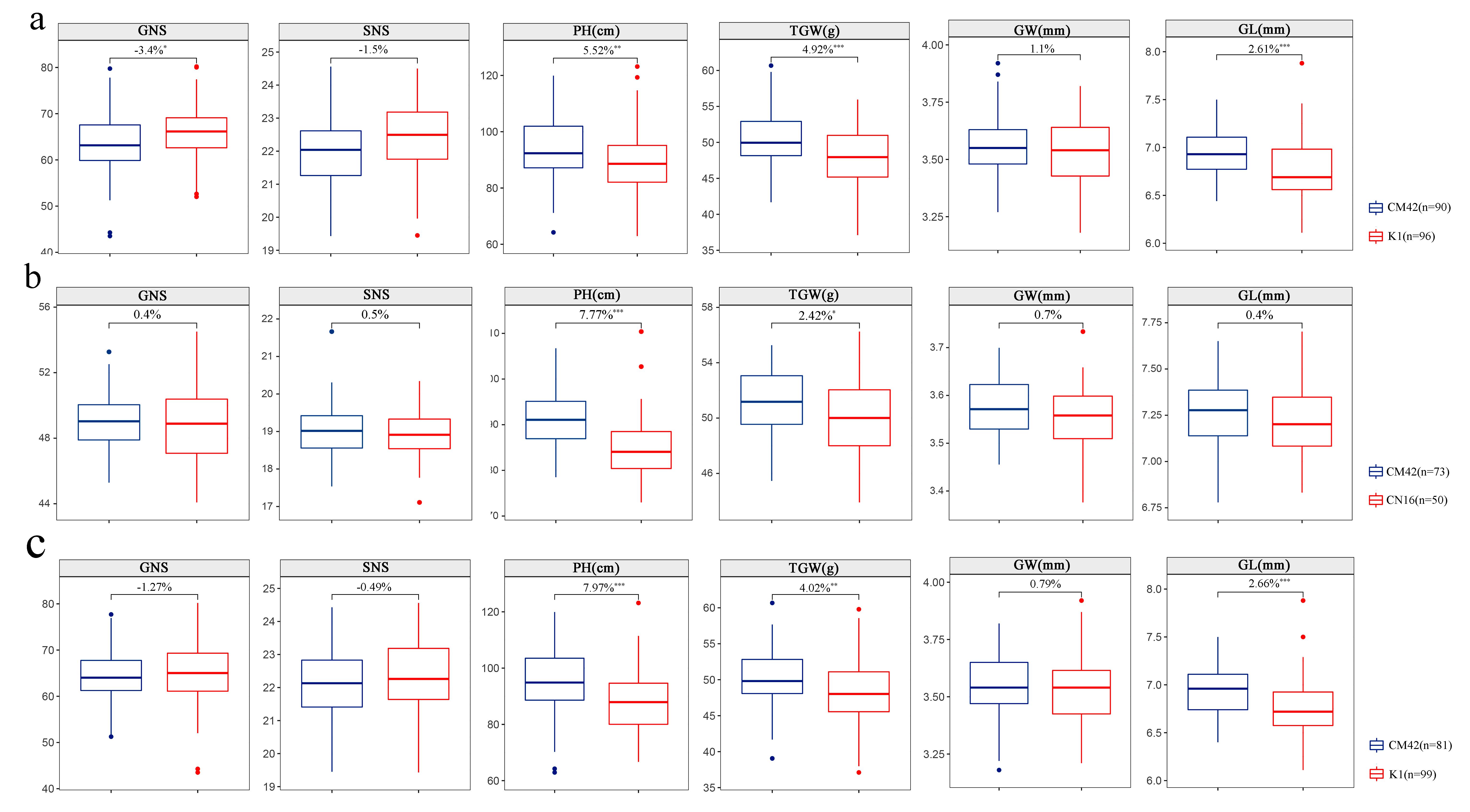
为了解析小麦穗长和穗密度的遗传机制,中科院成都生物研究所龙海研究团队利用川麦42×科成麦1号的DH群体(CK1)和川麦42×川农16的RIL群体(CC)在多个环境中进行QTL定位。其中川麦42是由四川省农业科学院杨武云研究员利用人工合成小麦的培育优良小麦品种,具有产量高,抗条锈病能力强等优点。相比于川麦42,科成麦1号和川农16穗长较短,穗密度较高?;?/span>3年2点5个环境的表型数据,共鉴定到34个穗长和穗密度的QTL,其中6个主效QTL在超过4个环境中被稳定检测到,解释了7.13-33.6%的表型变异。这些主效QTL位于染色体5A和6A上的两个基因组区域,分别被命名为QSc/Sl.cib-5A和QSc/Sl.cib-6A。两个主效QTL对穗长和穗密度的影响存在显著的加性效应。此外通过开发与之紧密连锁的KASP分子标记,在不同的遗传背景中进一步验证了QSc/Sl.cib-5A和QSc/Sl.cib-6A。比较分析结果表明,QSc/Sl.cib-5A不是春化基因Vrn-A1和基因Q;QSc/Sl.cib-6A可能是新的穗长和穗密度位点。效应分析结果显示,QSc/Sl.cib-5A和QSc/Sl.cib-6A对其他产量相关性状包括株高、千粒重和粒长均具有显著的影响。此外,基于基因表达模式、基因注释、直系同源分析和序列差异分析,TraesCS5A01G301400和TraesCS6A01G090300被认为是QSc/Sl.cib-5A和QSc/Sl.cib-6A可能的候选基因。本研究鉴定到的主效QTL和开发的KASP分子标记为后续穗长和穗密度相关基因的精细定位和克隆奠定了理论基础,也有助于小麦的分子标记辅助育种。
该结果以“Identification and validation of two major QTLs for spike compactness and length in bread wheat (Triticum aestivum L.) showing pleiotropic effects on yield-related traits”为题在农林科学Top期刊Theoretical and Applied Genetics上发表(DOI:10.1007/s00122-021-03918-8)。四川农业大学和中国科学院成都生物研究所联合培养博士生李涛为论文第一作者,中国科学院成都生物研究所龙海副研究员为通讯作者。四川农业大学小麦研究所魏育明教授团队和四川省农科院作物研究所杨武云研究员团队对本研究提供了很大帮助。感谢中国农科院作科所高丽锋老师提供了55k芯片数据,感谢小麦研究联盟多组学网站整合的研究工具为本研究引物设计和数据分析提供了便利。该研究得到国家重点研发项目(2016YFD0100102)、四川省农作物分子育种平台项目(2016NZ0103)、四川省科技厅重点研发项目 (2020YFSY0049)、中国科学院战略先导专项(XDA08020205)以及四川省麦类作物育种攻关项目(2016NYZ0030) 的资助。

图1、川麦42、科成麦1号和川农16的株型和穗型

图2、CK1和CC群体中穗长和穗密度在多环境的频率分布

图3、QSc/Sl.cib-5A和QSc/Sl.cib-6A在定位群体中的遗传效应

图4、QSc/Sl.cib-5A和QSc/Sl.cib-6A在CK1群体中对穗长和穗密度的叠加效应

图5、QSc/Sl.cib-5A和QSc/Sl.cib-6A对产量相关性状的影响

图6、不同遗传背景验证QSc/Sl.cib-5A和QSc/Sl.cib-6A

图7、QSc/Sl.cib-5A和QSc/Sl.cib-6A与前人研究结果的比较