成都生物所在混合营养型生物滴滤反应器除臭关键技术研究中获进展
作者:闫志英
时间:2021-07-15
恶臭污染是世界环境公害之一,其中影响最大的是以典型无机恶臭H2S和NH3为代表。生物滴滤反应器(BTF)作为一种生物脱臭工艺,因其操作条件易于控制和去除效率高而受到广泛的研究,但除臭过程中的循环滤液含有的高浓度污染物,排放后容易造成二次污染,是急需解决的技术瓶颈。
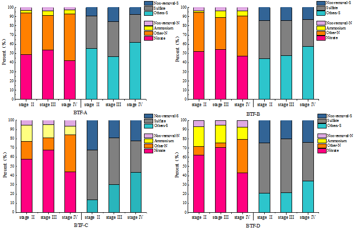
中国科学院成都生物研究所污染生物治理项目组研究生宦臣臣在吕青阳博士、闫志英研究员的指导下,以混合营养条件为基础,采用松树皮、煤渣、秸秆和移动床生物膜反应器(MBBR)作为填料,同时处理高浓度的H2S和NH3混合废气。结果表明,在H2S和NH3的进气负荷为53.59 g/m3·h,空床停留时间(EBRT)为40.5 s的条件下,以松树皮为填料的BTF-A去除率最高,分别为86.31%和94.06%。通过动力学曲线拟合得到理论最大负荷为90.09 g H2S m-1·h-1和172.41g NH3 m-3·h-1。同时,当NH3的进气浓度为720ppm时,BTF循环液中NO3-平均浓度仅为127.58 mg/L,二次污染物控制效果较好。对反应器中微生物分析发现,Dokdonella、Micropruina、Candidatus_Alysiosphaera、Nakamurella和Thiobacillus在属水平上具有较高的丰度,在4个BTF反应器中的整体比例分别为62.87%、46.32%、47.98%和57.35%。值得注意的是,在4个反应器中,具有HN-AD功能的菌株Comamonas和Trichococcus的占比分别为3.66%、1.45%、5.43%和3.23%。研究成果为生物滴滤反应器(BTF)在混合营养条件下有效去除恶臭气体提供了理论和实践依据。
该研究成果以宦臣臣和吕青阳为第一作者、闫志英研究员为通讯作者发表在国际著名TOP期刊Journal of Hazardous Materials(IF=10.6)上。
本研究得到国家重点研发计划(2017YFD0800803-02)、四川省重点研发项目(2019YFS0052)、山西省重点研发项目(201903D211013)、四川省重大科技项目(2018SZDZX0024)、中国科学院战略生物资源服务网络计划(KFJ-BRP-009)与四川省科技厅资助项目(2020ZYD023)等项目的支持。

图1 生物滴滤反应器(BTF)去除恶臭气体流程图

图2 BTFs系统在61天运行中的去除效果图

图3 生物滴滤反应器在不同运行阶段脱硫脱氮产物组成

图4 BTF系统在门水平(a)和属水平(b)的微生物丰度图