成都生物所西南高山亚高山退化森林生态恢复理论与技术体系研究获新进展
时间:2021-07-12
西南高山亚高山区主要指位于四川西部、云南西北部和西藏东南部一带的长江上游、澜沧江等源头的高海拔地区,一般在海拔2500-4500 m范围分布有以亚高山针叶林为主的森林生态系统;是《全国主体功能区规划》青藏高原和黄土高原—川滇两大生态屏障的重要组成部分,也是长江上游重要的生态屏障和国家实施“天然林?;すこ?/span>”的重要地区。特殊的高寒生态环境,叠加人为干扰和全球气候变化等因素的影响,使得大部分退化森林生态系统仍然存在自然恢复困难、恢复进程缓慢以及生态服务功能低下等问题,高海拔森林生态系统退化的过程与驱动机制还不清楚,高山亚高山退化森林生态恢复与资源利用技术和理念亟待进一步提升。
2017年国家重点研发计划重点专项“典型脆弱生态修复与保护研究”支持了“西南高山亚高山退化森林生态系统恢复重建技术研究”项目(2017YFC0505000)。该项目由中国科学院成都生物研究所牵头,中国林业科学研究院、四川农业大学、四川省林业科学研究院、中科院成都山地所、西南大学、电子科技大学和成都理工大学等单位参与?;谥脖谎萏娼锥魏椭魈迳δ芴嵘淖芴逅悸?,项目团队开展了3年多的试验示范研究,包括森林退化演替地下生态过程基础理论研究和生态恢复、景观塑造、苗木繁育、功能评价技术研发及集成等。在以下几个方面研究中获得进展。
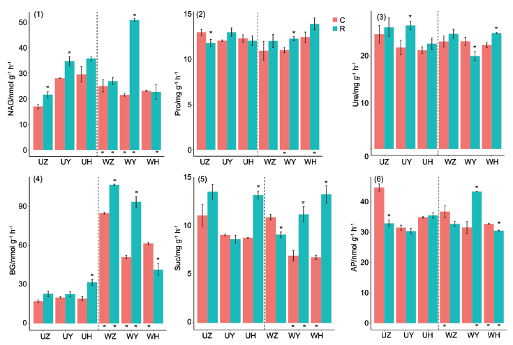
在地下生态基础理论方面:发现增温模拟气候变暖条件下,亚高山针叶林的主要建群种粗枝云杉(Picea asperata)和林下优势物种大熊猫的主食植物华西箭竹(Fargesia nitida)单种情况下根区土壤酶活性显著增加,对土壤胞外酶起主导作用的土壤理化因子发生改变;森林演替后期针叶树种粗枝云杉、阔叶树种红桦(Betula albo-sinensis)以及演替中期灌丛树种高山柳(Salix oritrepha)不同植物根际土壤酶活性对无机肥和有机肥的响应不同,且物种间相互作用对土壤酶的影响及其对肥料的响应因物种而异;草地、灌丛和次生桦木林3种次生演替阶段因前期采伐叠加后期干扰,较之原始针叶林,土壤容重显著增加、孔隙度显著降低、蓄水能力都遭到了不同程度的破坏;上述成果为区域内森林生态系统对气候变化的响应、植被更新与恢复机制以及生态功能评估与提升提供了重要科学依据。
在生态恢复促进技术方面:针对亚高山区广泛分布的次生灌丛水源涵养功能低、修复技术缺乏的问题,通过灌木层与根际微生境调控,创建了退化次生灌丛快速成林的恢复技术体系,包括灌丛冠幅调控、地被物调控、建群树种种子直播和栽植抚育技术等,使高山区建群树种萌发率提高10%-20%,定植成功率提高10%以上,有效促进了建群树种的更新、生长和恢复演替,可应用于天然林?;?、经济林栽培和景观恢复工程。
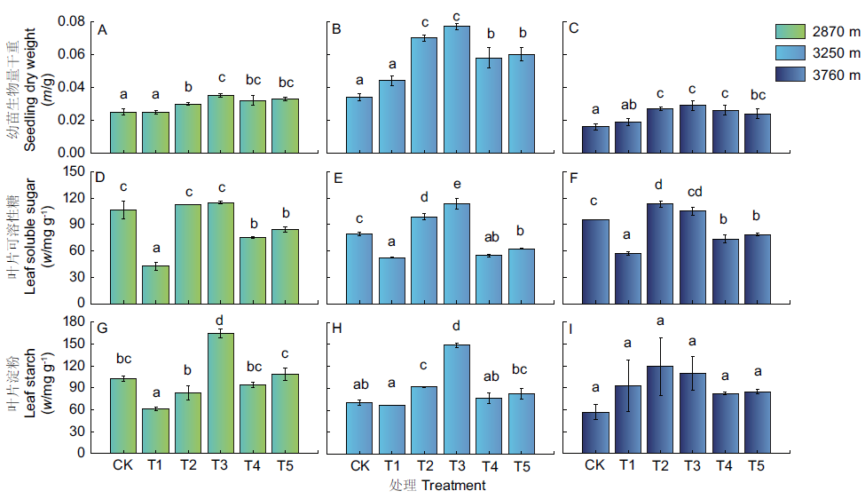
在资源开发利用技术方面:改变以往观赏植物评价片面采用观赏价值或生态价值情况,全面考虑植物观赏价值、生态适应性和开发价值,基于文献分析、实地调查和模型构建多层次筛选了山光杜鹃(Rhododendron oreodoxa)、云南勾儿茶(Berchemia yunnanensis)、毛叶蔷薇(Rosa mairei)等50种川西亚高山地区生态恢复与景观塑造乡土植物;通过外源激素、菌肥、凋落物等处理的探索,攻克特有树种四川红杉打破种子休眠、促进萌发和壮苗的快速繁育技术,促进先锋树种白桦(Betula platyphylla)成功定居;相关筛选与繁育成果为区域生态恢复和高海拔城镇绿化等提供了多样化材料。
成都生物所上述理论和技术新成果与项目其他团队部分成果以“西南高山亚高山退化森林生态恢复”专题和封面论文形式正式发表于中文核心期刊《应用与环境生物学报》2021年第3期。

图1 项目技术路线(刘庆等.西南高山亚高山不同演替阶段退化森林生态系统的恢复重建)
图2 增温和不同种植方式对土壤胞外酶活性的影响(罗林,梁进等.西南亚高山森林优势种不同种植方式根区土壤胞外酶活性对夜间增温的响应)

图3 灌丛下地被物调控技术(庞学勇,刘庆等.西南亚高山次生灌丛促进建群树种更新恢复技术)

图4 综合评价I级植物(王丽华,吴彦等.亚高山野生乡土木本植物观赏价值评价体系构建)

图5 不同处理不同海拔的幼苗生理指标差异(莫丹,向双等.四川红杉种子快速萌发与幼苗生长技术 )

图6 《应用与环境生物学报》2021年第3期封面
